
昭和20年代に発行された絵はがき「伊勢志摩国立公園二見浦 繁華街」の画像です。
画像の奥が夫婦岩(めおといわ)方面になります。

「二見浦 繁華街」を拡大した画像です。左側手前の建物が前回ご紹介した朝日館さんになり、その右隣りが今回ご紹介する「冨士見館」になります。
この画像では冨士見館は和風建築の建物です。

昭和30年代前半に発行された「二見町旅館案内図」の画像です。この案内図では「富士見屋」となっていますが実際の看板は「冨士見館」ですね。

昭和40年代後半に富士見館から発行されたパンフレットの表紙の画像です。画像のようにこの頃までに鉄筋造りのモダンな建物に変わっています。右側にある専用ガレージには1971年~1974年にかけて生産されたトヨタの4代目クラウンが駐車されています。

パンフレットを開いた裏側の画像です。「魚屋80年の歴史を誇る料理旅館」と記載されていますので、明治20年代後半に魚屋として創業し、その後に旅館に転業したのでしょうか?

大正2年(1913年)に二見浦保勝会から発行された「二見名勝誌」に掲載されている「二見浦旅館海水浴飲食店」の画像です。この一覧表には冨士見館の名前はありません。

昭和44年(1969年)に発行に二見浦観光協会・二見町旅館組合から発行されたパンフレット「二見浦海水浴場」の表紙の画像です。海水浴客で砂浜が埋め尽くされています。

パンフレットを見開いた画像です。

右上辺りを拡大した画像です。この頃はフラダンスを披露する大カーニバルも開催されており、イベントも盛りだくさんだったのですね。

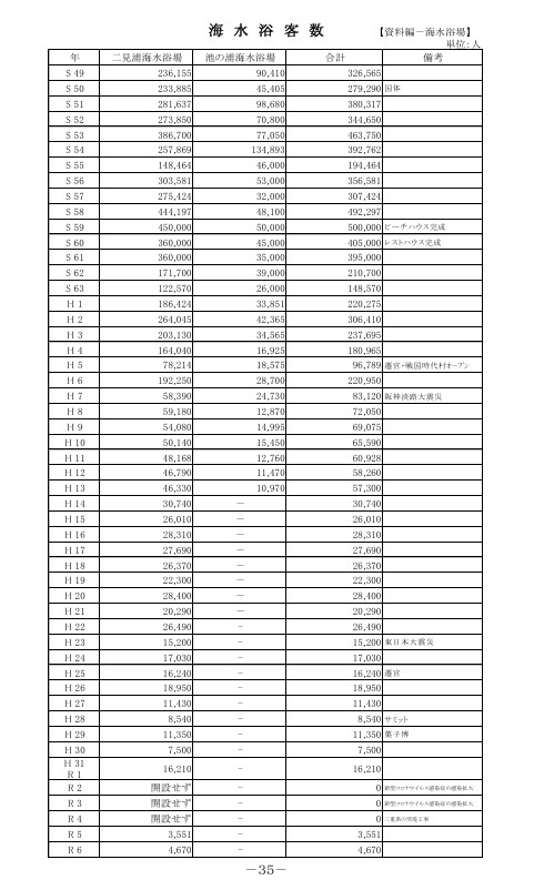
令和6年の伊勢市の観光統計の「海水浴客」の画像です。
ビーチハウスが完成した昭和59年(1984年)には45万人もの海水浴客が訪れています。平成2年、平成3年は20万人を越えていますが、式年遷宮と戦国時代村(現在の忍者キングダム)がオープンした平成5年(1993年)に10万を下回り、平成7年以降10万人を越えることがなく、右肩下がりで減り続けています。そしてコロナ禍明けは5000人以下になってしまっています。

令和6年の伊勢市の観光統計の「二見町観光客調査票(S30~S63)」の画像です。

令和6年の伊勢市の観光統計の「二見町観光客調査票(H1~R6)」の画像です。
昭和時代は修学旅行生が年間20万人以上宿泊していましたが、平成に入ると右肩下がりで減り続け、令和6年は1130人まで減っています。一般を含めた宿泊客数も昭和の中頃は50万~70万人いましたが、平成12年(2000年)以降は伊勢志摩サミットが開催された平成28年(2016年)を除いて20万人以下です。

冒頭の「二見浦 繁華街」と同じ角度で撮影した現在の画像です。統計にも出ているような時代の流れで、冨士見館は既に閉館していて建物も取り壊されています。

現在の冨士見館跡の画像です。二見総合支所で伺ったところ、二見町が伊勢市と合併した平成17年(2005年)までには閉館していたそうです。Tripadvisorの口コミに冨士見館の閉館後の画像があり、平成27年(2015年)時点では建物は残っていました。
出典:令和6年伊勢市観光統計(資料編)
